Quando se faz um estudo sobre determinado assunto, muito raramente o pesquisador têm acesso a todos os dados referentes à observação estudada, ou por falta de ocorrências ou por ser muito inviável financeiramente realizar a coleta desses dados, para isso, utilizamos a amostragem. Para entender um pouco mais sobre amostragem, primeiro deve-se saber diferenciar população, e amostra. População: É o “grupo” a ser estudado, se for realizada uma pesquisa referente a todo o povo Brasileiro, a População se refere aos cidadãos Brasileiros, se a pesquisa for referente a todos os alunos que atualmente estão em graduação na UFPR, a população será compreendida por todos os alunos da UFPR em processo de graduação. Amostra: São pequenos grupos escolhidos da população, afim de representarem as caracteristicas da população.

E o que é amostragem? Amostragem é o ato de analisar uma parte do evento observado com o intuito de saber como a população se comporta, sem necessariamente analisar a população como um todo.

Mas, por que a amostragem é importante? No mundo ideal, para qualquer pesquisa realizada, teríamos todas as informações que queremos da população estudada, mas imagine um estudo envolvendo os cidadãos Brasileiros, para se recolher informações de pessoa por pessoa, no país inteiro seria necessário um grande número de pessoal, teríamos um custo elevado para manter a equipe e dar procedimento na pesquisa, e o tempo preciso para tal seria gigantesco. Para situações desse tipo, utilizamos a amostragem.

As Amostras: Quando se recolhe uma amostra, espera-se que a mesma seja representativa em relação a população, ou seja, que a amostra apresente os mesmos comportamentos que a população estudada, para isso deve-se atender alguns critérios, tais como: Selecionar amostras que fazem parte da população: Por exemplo, num estudo sobre os males causados no fígado pelo consumo excessivo de bebidas alcóolicas, não selecionaremos pessoas que não possuem o hábito de ingerir bebidas alcóolicas.
Não selecionar amostras tendenciosas: Em geral, é comum vermos opiniões embasadas em amostras tendenciosas, para exemplificar isso, imaginemos que será realizada uma pesquisa sobre qual a preferência pelos times estaduais de Futebol do Paraná, e como amostras são selecionados apenas torcedores chegando a um jogo do “Time A” na recepção do estádio e com o uniforme do time, indiferente de quantos torcedores sejam entrevistados, a pesquisa indicará que no Paraná, a esmagadora maioria dos torcedores prefere o “Time A”, mesmo que isso não seja necessariamente um fato, por isso o essencial é que as amostras sejam escolhidas aleatoriamente dentro da população.
Selecionar um tamanho de amostra considerável: Como já citado, geralmente não é viável analisar toda uma população para determinado estudo, mas quando coletarmos as amostras, precisamos coletar um grupo cujo tamanho possa nos trazer certo grau de confiança de que nossa amostra é representativa, pois uma amostra muito pequena pode apresentar comportamentos muito discrepantes em relação aos da população.

Tamanho da amostra exemplo

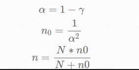
O cálculo do tamanho da amostra leva em consideração tamanho da população, nível de confiança e variância, mas como muitas vezes não temos esse tipo de informação, trataremos neste material da fórmula de amostragem aleatória simples, que consiste em selecionar membros da população em que todos os candidatos têm a mesma probabilidade de serem selecionados:

exemplo

Onde temos que:

exemplo

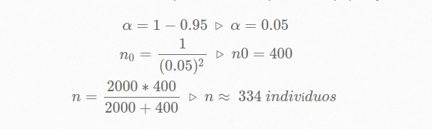
Por exemplo, se possuirmos uma população de N= 2000, e com um Grau de Confiança de 95%, ou seja, que esperamos uma certeza de 95% de que a amostra represente a população estudada, então:

exemplo

Note que, quanto maior o Grau de Confiança desejado, será necessário uma amostra de tamanho maior(para o mesmo exemplo anterior, utilizaremos o Grau de confiança como 98%):

exemplo

Abaixo temos alguns gráficos para mostrar a influência do tamanho da amostra em relação com a População, onde geramos uma população aleatória onde o parâmetro estudado é a altura:

exemplo

No primeiro gráfico, temos uma população x, e a curva representada pela cor preta, indica de forma suavizada o padrão da população, na sequência, temos 3 gráficos com n1=20, n2=200 e n3=2000 respectivamente, onde sua curva é representada pela cor vermelha. Note que quanto maior o n (Tamanho da amostra), mais semelhante a curva suavizada em relação a curva real da população.